云顶集团官网

Shandong Taihe Water Treatment Co.,Ltd.
reach

Main Products

Shandong Taihe Technologies Co., Ltd.
TEL:  +86-632-5113066
FAX:  +86-632-5112055
E-mail: info@thwater.net
ADD: No.1, Shiliquan East Road, Shizhong District, Zaozhuang City, Shandong Province, P.R.China

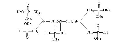
Hepta sodium salt of Diethylene Triamine Penta (Methylene Phosphonic Acid) (DTPMP?Na7)

CAS No.  22042-96-2 (x-Na) 68155-78-2 (7-Na)

Molecular Formula: C9H21O15N3P5Na7                Molecular weight: 727

Structural Formula:

Properties:

DTPMP?Na7 is a scale inhibitor, for barium sulphate in particular and a chelating agent.DTPMP?Na7 can be used as stabilizer for peroxide bleaching, detergent auxiliaries, in industrial & municipal cleaning water, terrestrial heat water, oilfield water, etc.

Specification:

Items Index
 Appearance  Umber transparent liquid
 Active content (DTPMPA)% >  31.5-33.5  24.0-26.0
 Active content (DTPMP?Na7)%  40.0-42.5  30.5-33.0
Total phosphoric acid(PO43-)%  -  19.7-21.7
Chloride ( as Cl-) %  5.0 max  5.0 max
Fe, mg/L 20.0 max 20.0 max
 PH(1% water solution)  7.0-9.0  7.0-9.0
 Density (20℃) g/cm3  1.25 min  1.24-1.34

Package and Storage:

200L plastic drum, IBC(1000L),customers' requirement. Storage for ten months in shady room and dry place.

Safety Protection:

Avoid contact with eye and skin, once contacted, flush with water.

 
网站地图