云顶集团官网

Shandong Taihe Water Treatment Co.,Ltd.
reach

Main Products

Shandong Taihe Technologies Co., Ltd.
TEL:  +86-632-5113066
FAX:  +86-632-5112055
E-mail: info@thwater.net
ADD: No.1, Shiliquan East Road, Shizhong District, Zaozhuang City, Shandong Province, P.R.China

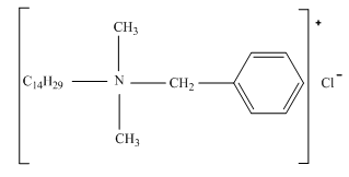
Tetradecyl dimethyl benzyl ammonium chloride

CAS No.  139-08-2       Molecular weight:  368.11

Molecular Formula:  C23H42NCl           

Structural Formula:

Tetradecyl dimethyl benzyl ammonium chloride

Properties:

Tetradecyl dimethyl benzyl ammonium chloride is colorless to pale yellow liquid, can be dissociated to form cationic active group in water, soluble in water and alcohol in arbitrary ration, and can be used with cationic, non-ionic surfactants or dyes simultaneously, but avoid using with anionic surfactants or additives. Tetradecyl dimethyl benzyl ammonium chloride is stable with weak acid or weak alkali, not suitable for heating at 100 ° C for long time.

Tetradecyl dimethyl benzyl ammonium chloridehas properties of sterilization, emulsification, antistatic and soften. It is widely used in petroleum, chemical, textile, machinery, metallurgy and electric power and other industries.

Specification:

Items Index
Appearance Colorless to light yellow aqueous solution Colorless to pale yellow aqueous solution
Active content % 40.0min 80.0min
Free amine % 2.0 max 2.0 max

pH value

6.0-8.0 (as it) 6.0-8.0 (1% solution)

Usage:

In industrial circulating water treatment, it is used as biocides, algicides, sludge stripper and system cleaning agents. When used in industrial circulating water treatment, usually add it every one or two weeks, 40 ~ 100mg / L each time, using of impact-type feeding; When used in system cleaning or slime stripping, the dosage can be increased, 100 ~ 200mg / L for instance. The pollution discharge should be stopped after dosing.

Package and Storage:

200L plastic drum,IBC(1000L),customers’ requirement. Storage for one year in shady room and dry place.

Safety Protection:

Stimulation to skin and serious stimulation to eyes. Wear safety equipment when operating. When contacted with skin, flush with water.

 
网站地图